上海天文台高能观测团组与合作团队在利用X射线时变信号限制中子星物态研究方向取得重要进展
近日,中国科学院上海天文台余文飞研究员领导的高能观测团组和国家天文台张文达副研究员合作,在X射线时变天文的核心科学目标 — 利用快速自转中子星表面热斑产生的X射线脉冲信号限制中子星物态的研究领域取得重要进展。相关成果于3月24日在线发表在国际天文学学术期刊《皇家天文学会月报》(The Monthly Notices of the Royal Astronomical Society)上。
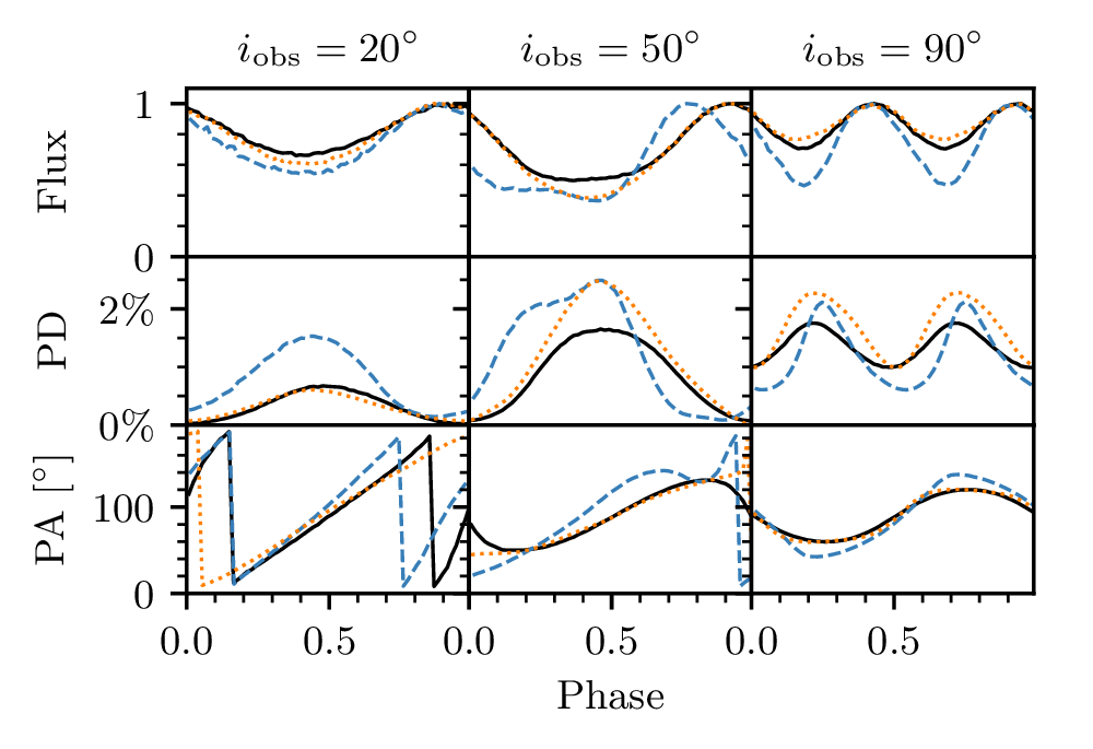
科研团队利用广义相对论光线追踪方法,计算快速旋转中子星表面热斑产生的周期脉冲轮廓,得到了与国际顶尖团队历经20余年给出的几项检验标准完全一致的结果。该理论模型和相关数值计算程序(命名为MONK-NS)集合了广义相对论下的三维光线追踪和辐射转移过程,并自带X射线偏振辐射计算功能。利用在X射线偏振辐射计算上的独有功能,该研究首次给出不同热斑几何具有不同X射线偏振辐射特征的结论,并提出了脉冲信号偏振辐射的模型检验标准。上述研究进展表明:我们在快速自转中子星由表面热斑辐射产生的X射线脉冲信号相关理论和数值计算上实现了准度和精度上里程碑式的进展,为利用下一代X射线天文卫星观测给出中子星物态准确和严格的限制奠定了基础。
中子星天体是宇宙中超密物质的天然实验室。在X射线辐射由表面热辐射主导的(1)自转驱动的毫秒脉冲星和(2)吸积驱动的毫秒脉冲星中,由于中子星表面辐射不均匀,加上中子星的快速旋转,会使观测者观测到X射线周期脉冲信号,其轮廓会受多普勒和狭义、广义相对论等效应的显著影响,携带中子星质量和半径等重要信息。因此,通过X射线脉冲轮廓限制中子星的质量和半径等性质是当今(如美国在国际空间站上的中子星内部组成探测器NICER)和未来X射线时变天文观测设备(如我国的增强型X射线时变与偏振空间天文台eXTP)的主要科学目标。不同于许多由发现驱动的天文观测研究,通过测量快速自转中子星产生的X射线脉冲轮廓限制中子星的质量和半径等性质,理论计算的准度和精度是解决该基本天体物理问题的关键。
通过X射线时变信号限制中子星物态等相对论天体物理问题是上海天文台高能观测团组长期科学目标之一。利用旋转中子星的脉冲轮廓限制中子星的质量和半径等基本性质是X射线时变天文领域的主要方法。2016年该团队提出利用中子星小质量X射线双星中的毫赫兹准周期振荡信号给出中子星半径下限的新方法,并给出X射线双星4U1636-53中的中子星半径约大于11公里的下限,也同时提出将单个毫赫兹准周期振荡的脉冲信号中的极端样本作为未来的研究目标,期望能够给出更大和更紧致的中子星半径下限(Stiele et al. 2016);而快速旋转中子星的表面热斑辐射的精确理论计算是实现上述研究目标的理论基础。张文达副研究员在上海天文台就读博士期间,曾针对超大质量黑洞潮汐瓦解恒星事例,在广义相对论三维光线追踪的计算上打下前期基础。经过国外博士后研究和国际合作,发展出针对吸积黑洞强引力场下广义相对论三维光线追踪和辐射转移过程的理论和相关计算程序(命名为MONK,参见Zhang et al. 2019),这为我们推进中子星表面热斑辐射的理论计算提供了可靠基础。当前国际顶尖团队(国际空间站中子星物质组成探测器NICER合作组,相关理论团队主要由美国马里兰大学、伊利诺伊大学香槟分校和荷兰阿姆斯特丹大学等多个独立团组组成)应用的中子星热斑辐射模型,曾历经20余年才达到高度一致的标准结果(见论文参考文献:Miller & Lamb 1998; Lamb et al. 2009; Lo et al. 2013; Miller & Lamb 2015; Riley & Watts 2019)。我们由MONK发展出包括广义相对论三维光线追踪和辐射转移的相关理论和计算程序MONK-NS,很快实现了与该国际顶尖团队提出的检验标准的比对。该论文的发表不仅标志着国际顶尖团队的认可,也表明在利用中子星X射线脉冲信号限制中子星物态研究方向至关重要的理论工具上,我们取得了里程碑式的进展。
利用X射线时变信号限制中子星物态相关科学项目的推动者、在美国工作期间曾参与美国伊利诺伊大学和马里兰大学相关合作的余文飞研究员指出:“前期针对黑洞吸积系统开发的MONK所具有的准度和精度为我们实现与国际检验标准的比对并迅速完成独立的MONK-NS奠定了基础;其自带的X射线偏振计算能力也使得MONK-NS是当前通过检验标准的理论计算工具中独具X射线偏振计算能力的理论工具。利用X射线时变观测,我们有望取得对中子星物态更精准可靠和更紧致的物理限制”。此项研究工作的第一作者和MONK的开发者、国家天文台张文达副研究员表示:“我们开发的MONK-NS代码可以在完整广义相对论框架下处理复杂辐射过程,为研究中子星表面辐射及其偏振特性提供了更灵活、更精确的工具。”
该研究团队包括中国科学院上海天文台余文飞研究员和中国科学院国家天文台张文达副研究员。上海天文台在此项研究中的工作得到国家自然科学基金(12373050)支持。

图:MONK-NS计算的不同几何形状热斑脉冲轮廓(上)、偏振度(中)和偏振角(下)的对比(黑色,橙色,蓝色分别代表圆形,月牙形和椭圆形热斑辐射)。上述结果给出了偏振辐射模型的检验和比对标准。图片来自Zhang & Yu 2026。
论文链接:
https://academic.oup.com/mnras/article/548/1/stag569/8539723
https://arxiv.org/abs/2603.20870
科学联系人:
余文飞,中国科学院上海天文台,wenfei@shao.ac.cn
张文达,中国科学院国家天文台,wdzhang@nao.cas.cn
附件下载:

