天文学家提出活动星系核准周期爆发现象的新模型
近期,由上海天文台潘鑫博士生、李双良研究员,浙江大学曹新伍教授,西班牙天体生物中心天文学家Giovanni Miniutti以及上海天文台顾敏峰研究员组成的合作团队,提出了一种新的吸积盘模型来解释近年新观测到的活动星系核GSN 069中的准周期爆发现象(QPEs)。该模型对QPEs时标(即爆发周期)、爆发幅度与辐射谱演化过程方面的完整物理机制提供了统一解释。相关成果发表在《天体物理学杂志-通讯》。
早在上世纪70年代天文学家提出吸积盘模型后[1],科学家就注意到了吸积盘在某些条件下会出现由辐射压不稳定导致的周期性爆发现象。但从实际观测结果来看,不论是X射线双星还是活动星系核,具有这种周期性光变的天体并不多见。由于观测数据不足,天文学家难以通过实际观测对不稳定爆发吸积盘模型进行完善,也难以进一步理解吸积过程。
直到2018年底,Giovanni Miniutti等人[2]通过牛顿与钱德拉空间望远镜观测到活动星系核GSN 069的准周期性爆发(QPEs)现象(图1),该结果发表在了《自然》杂志上。GSN 069的发现扩大了天体中具有周期性光变现象的数据库,也为天文学家们提供了一个绝佳的机会去理解活动星系核中心正在发生的物理过程。近年来,天文学家们又通过观测对以往的数据进行搜寻,找到了四例QPEs源,对这类全新的爆发现象提供了更全面的信息[3-5]。
活动星系核GSN 069的准周期性爆发(QPEs),主要表现在高能波段具有极短时标(数小时)的稳定周期性爆发。然而从现有的吸积理论和以往的“统一模型”来看,由于“统一模型”先前对活动星系核准周期爆发现象爆发周期的预测往往是几百年甚至几千年,因此对于GSN 069这种具有数小时极短爆发周期的天体来说,“统一模型”无法直接给出一个合理的解释。事实上QPEs的极短爆发周期与近十来年科学家所关注的变脸活动星系核(Changing-Look AGNs)一样,都对以往的“统一模型”提出了极大挑战,而寻找这种罕见的天文现象背后的物理机制,也能够帮助天文学家在现阶段难以通过望远镜观测去分辨的情况下,进一步理解星系核心区域的结构与性质。

图1,Miniutti等人发现的GSN 069中的QPEs(0.4-2 keV)。a和b是牛顿空间望远镜观测到的X射线波段的光变曲线,c是钱德拉空间望远镜观测到的X射线波段的光变曲线。
近年来,天文学家陆续发表了几种模型来尝试解释QPEs[6-14],但这些模型主要集中在解释QPEs的极短光变时标上,对于QPEs整体的观测性质,比如光变轮廓、幅度与辐射谱演化目前还没有一个较好的模型来进行全面解释。
此次研究,上海天文台牵头的研究团队在以往关于变脸活动星系核模型的结构[7]与QPEs光谱观测中分析结论的基础上[2],认为QPEs就是在某些条件下薄盘的产热与冷却无法保持平衡而产生的准周期性爆发。对于GSN 069实际观测与“统一模型”不符的时标问题,研究人员认为可以通过考虑吸积环境中有序大尺度磁场的存在来解决。
以往研究显示[7],大尺度磁场的存在能够有效地降低吸积盘温度,使得吸积盘趋于稳定,并且也会使得靠近黑洞部分吸积盘结构偏离标准薄盘[15](内边界存在一个额外的力矩)。因此研究人员认为GSN 069可能是一个具有较强大尺度磁场环境的吸积系统。在这种情况下,较高吸积率的吸积盘不稳定区域会被严重限制在最靠近黑洞的一个高温狭窄区域,这也是为什么观测到的QPEs时标会如此之短,并且只表现在高能波段的原因(图2)。

图2,模型结构示意图。由于大尺度磁场的存在,不稳定区域被限制在了靠近黑洞的狭窄范围内,即图中橙色部分。
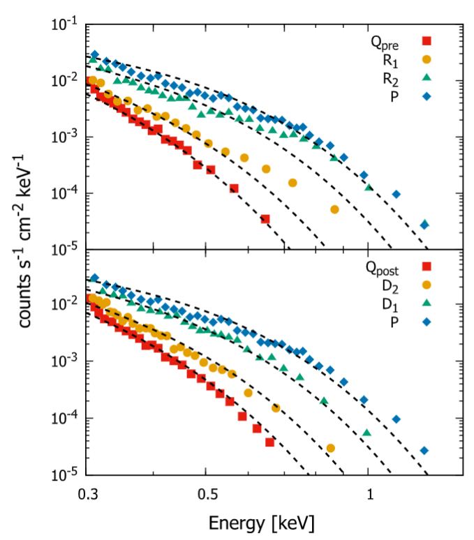
研究人员通过推导吸积盘不稳定区域的演化方程,并用数值计算对其进行求解,得到了GSN 069的周期性爆发结果。通过与观测比较,研究人员发现在光变的周期、轮廓、幅度,以及光谱的演化等方面,新模型都能够很好地定性重现观测结果(图3-4)。通过进一步分析发现,新模型还能够在光变中给出不同的“占空比”,这也预示了此次研究提出的这种新模型可能进一步解释其他的QPEs源,从而具有一定的普遍意义(图5)。

图3,模型光变曲线与观测数据的对比,可以看到模型所给出的光变爆发模式(实线)与观测(灰点)能够很好对应。

图4,模型光谱演化与观测数据对比。模型的光谱演化结果(虚线)与观测数据(彩色点)能够在演化趋势上很好对应。

图5,不同粘滞假设条件下的光变曲线。模型的在不同粘滞参数条件下能够爆发出不同“占空比”的光变模式。
潘鑫表示:“就目前的QPEs观测来说,数据样本量还比较少,我们期待发现更多的QPEs源,给出更多的约束条件,以验证这个新模型的合理性,并进一步完善这个模型,从而能够更为深入地去探索活动星系核中心正在发生的物理过程。”
本项目主要由国家自然科学基金和中国空间站项目支持。
论文链接:
科学联系人:
潘鑫,中国科学院上海天文台,panxin@shao.ac.cn
李双良,中国科学院上海天文台,lisl@shao.ac.cn
曹新伍,浙江大学,xwcao@zju.edu.cn
参考文献:
[1] Shakura N I, Sunyaev R A. Black holes in binary systems. Observational appearance[J]. Astronomy and Astrophysics, 1973, 24: 337-355.
[2] Miniutti G, Saxton R D, Giustini M, et al. Nine-hour X-ray quasi-periodic eruptions from a low-mass black hole galactic nucleus[J]. Nature, 2019, 573(7774): 381-384.
[3] Giustini M, Miniutti G, Saxton R D. X-ray quasi-periodic eruptions from the galactic nucleus of RX J1301. 9+ 2747[J]. Astronomy & Astrophysics, 2020, 636: L2.
[4] Arcodia R, Merloni A, Nandra K, et al. X-ray quasi-periodic eruptions from two previously quiescent galaxies[J]. Nature, 2021, 592(7856): 704-707.
[5] Chakraborty J, Kara E, Masterson M, et al. Possible X-Ray Quasi-periodic Eruptions in a Tidal Disruption Event Candidate[J]. The Astrophysical Journal Letters, 2021, 921(2): L40.
[6] Sniegowska M, Czerny B, Bon E, et al. Possible mechanism for multiple changing-look phenomena in active galactic nuclei[J]. Astronomy & Astrophysics, 2020, 641: A167.
[7] Pan X, Li S L, Cao X. The effects of large-scale magnetic fields on the model for repeating changing-look AGNs[J]. The Astrophysical Journal, 2021, 910(2): 97.
[8] Zhao Z Y, Wang Y Y, Zou Y C, et al. Quasi-periodic eruptions from the helium envelope of hydrogen-deficient stars stripped by supermassive black holes[J]. Astronomy & Astrophysics, 2022, 661: A55.
[9] Metzger B D, Stone N C, Gilbaum S. Interacting Stellar EMRIs as Sources of Quasi-periodic Eruptions in Galactic Nuclei[J]. The Astrophysical Journal, 2022, 926(1): 101.
[10] King A. GSN 069–A tidal disruption near miss[J]. Monthly Notices of the Royal Astronomical Society: Letters, 2020, 493(1): L120-L123.
[11] Raj A, Nixon C J. Disk tearing: implications for black hole accretion and AGN variability[J]. The Astrophysical Journal, 2021, 909(1): 82.
[12] Ingram A, Motta S E, Aigrain S, et al. A self-lensing binary massive black hole interpretation of quasi-periodic eruptions[J]. Monthly Notices of the Royal Astronomical Society, 2021, 503(2): 1703-1716.
[13] Suková P, Zaja?ek M, Witzany V, et al. Stellar transits across a magnetized accretion torus as a mechanism for plasmoid ejection[J]. The Astrophysical Journal, 2021, 917(1): 43.
[14] Xian J, Zhang F, Dou L, et al. X-Ray Quasi-periodic Eruptions Driven by Star–Disk Collisions: Application to GSN069 and Probing the Spin of Massive Black Holes[J]. The Astrophysical Journal Letters, 2021, 921(2): L32.
[15] Krolik J H. Magnetized accretion inside the marginally stable orbit around a black hole[J]. The Astrophysical Journal, 1999, 515(2): L73.
附件下载:
Speaker:Speaker:Dr. Enci Wang (USTC)
Time:Time:3:00 pm Apr. 2nd (Thursday)
Location:Location: Lecture Hall, 3rd floor
Speaker:Dr. Di Li (Tsinghua University)
Time:Time:3:00 pm March 19th (Thursday)
Location:Location: Lecture Hall, 3rd floor
Speaker:Speaker:Dr. Ezequiel Treister ( University of Tarapaca)
Time:Time:3:00 pm Jan.29th (Thursday)
Location:Location: Lecture Hall, 3rd floor
Speaker:Speaker: Prof. Siming Liu (Southwest Jiaotong University)
Time:Time:3:00 pm Dec.25th (Thursday)
Location:Location: Lecture Hall, 3rd floor